Homework 1

DANL 310: Data Visualization and Presentation Homework Assignment 1

Question 1

Renovate your personal website on GitHub using Quarto.

✔️

Question 2

Provide ggplot codes to replicate the given figure.

ncdc_temp <- read_csv(
  'https://bcdanl.github.io/data/ncdc_temp_cleaned.csv')
library(lubridate)
ggplot(ncdc_temp, aes(x = date, y = temperature, color = location)) +

geom_line(size = 1) + # Adds a layer to the ggplot object with a line plot of the temperature data, with a size of 1.

scale_x_date(name = "month", limits = c(ymd("0000-01-01"), ymd("0001-01-04")), # Adds a scale to the x-axis with the label "month" and limits of Jan 1, 0000 to Jan 4, 0001, and breaks at the beginning of each quarter (Jan, Apr, Jul, Oct), with corresponding labels.
breaks = c(ymd("0000-01-01"), ymd("0000-04-01"), ymd("0000-07-01"),
ymd("0000-10-01"), ymd("0001-01-01")),
labels = c("Jan", "Apr", "Jul", "Oct", "Jan"), expand = c(1/366, 0)) +

scale_y_continuous(limits = c(19.9, 107), # Adds a scale to the y-axis with limits of 19.9 to 107, breaks at every 20 units, and label "temperature (°F)".
breaks = seq(20, 100, by = 20),
name = "temperature (°F)") +

theme(legend.title.align = 0.5) # Adjusts the alignment of the legend title to be centered.

Question 2b

ncdc_temp <- read_csv(
  'https://bcdanl.github.io/data/ncdc_temp_cleaned.csv')
library('ggplot2')
p <- ggplot(ncdc_temp, aes(x = month, y = temperature)) 

  # add a box plot with grey fill
p + geom_boxplot(fill = 'grey90') + 
  # add labels for x and y axes
  labs(x = "month",
       y = "mean temperature (°F)") 

p

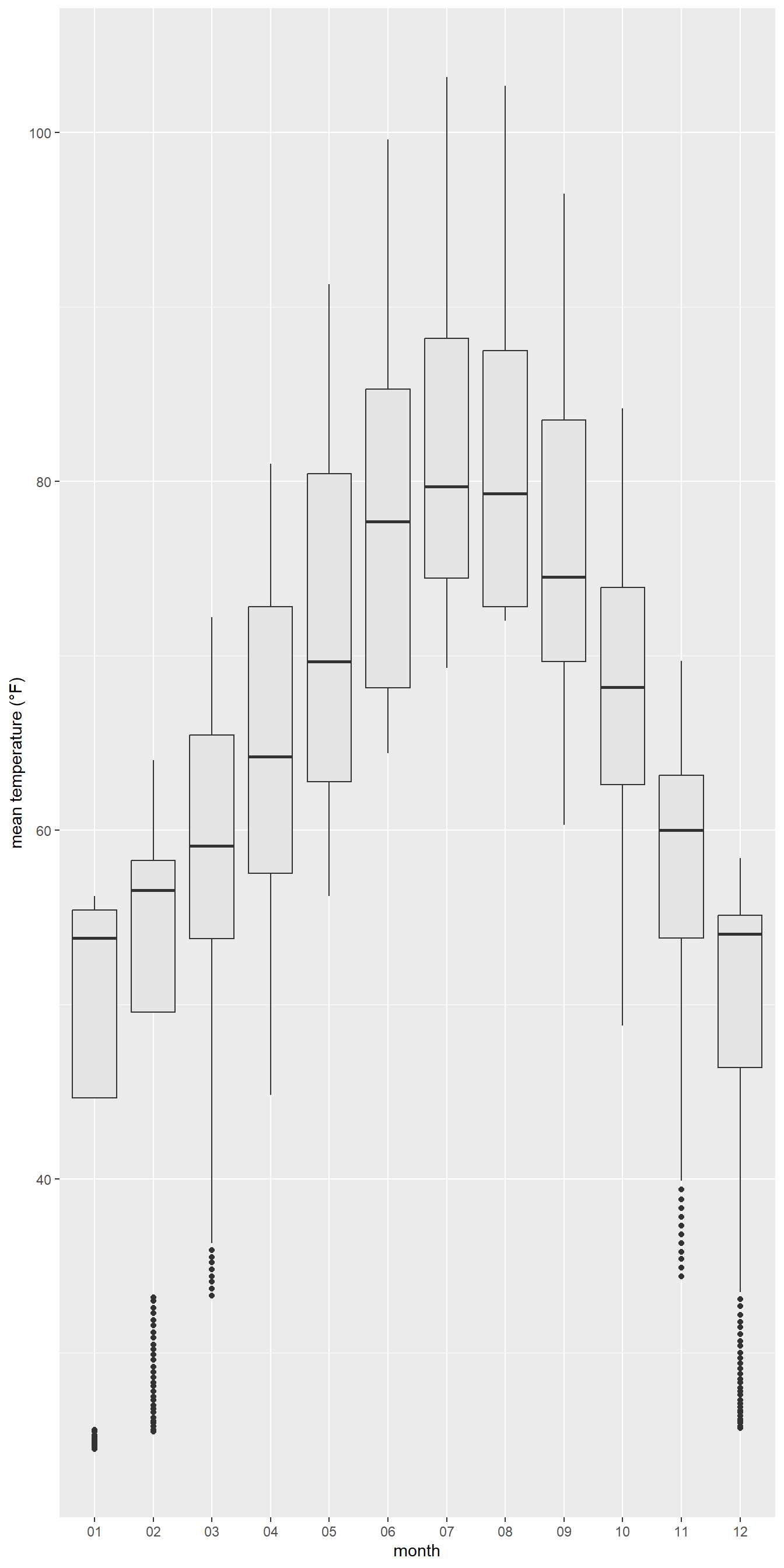
Question 2c

ncdc_temp <- read_csv(
  'https://bcdanl.github.io/data/ncdc_temp_cleaned.csv')

ggridges::geom_density_ridges()
geom_density_ridges: na.rm = FALSE, panel_scaling = TRUE
stat_density_ridges: na.rm = FALSE
position_points_sina 
p <- ggplot(ncdc_temp, aes(x = temperature, y = month)) 

p + ggridges::geom_density_ridges( # Adds a layer to the ggplot object with a smoothed density plot of the temperature data using the 'ridgeline' plot type.
  scale = 3, rel_min_height = 0.01, # Sets the scaling and minimum relative height for the plot.
  bandwidth = 3.4, fill = "#56B4E9", color = "white" # Sets the bandwidth for the plot, as well as the fill and color for the plot elements.
) +

scale_x_continuous( # Adds a scale to the x-axis for continuous values.
  name = "mean temperature (°F)", # Sets the label for the x-axis.
  expand = c(0, 0), breaks = c(0, 25, 50, 75) # Sets the expansion and the break points for the x-axis.
) +

scale_y_discrete(
  name = "month", expand = c(0, .2, 0, 2.6)) + # Adds a scale to the y-axis for discrete (categorical) values, with a label and a custom expansion.

theme( # Applies a custom theme to the ggplot object.
  plot.margin = margin(3, 7, 3, 1.5) # Sets the margin of the plot.
)

Question 2d

m <- ggplot(data = mtcars, aes(x = disp, y = mpg, color = hp)) 

m + geom_point(aes(color = hp)) + # add scatter plot with color mapped to "hp" variable
  labs(x = "displacement(cu. in.)", y = "fuel efficiency(mpg)")+ # add labels to x and y axes
  scale_color_gradient()+ # add color gradient scale legend
  scale_fill_brewer(palette = "Emrld") # add fill color palette with "Emrld" scheme to the legend

Question 2e

popgrowth_df <- read_csv(
  'https://bcdanl.github.io/data/popgrowth.csv')
p <- ggplot(popgrowth_df, 
            aes(x = reorder(state, popgrowth), 
                y = 100*popgrowth, 
                fill = region))
p + geom_col() + # Add the geom for the columns
  scale_y_continuous(
    limits = c(-.6, 37.5), expand = c(0, 0), # Set y axis limits and expansion
    labels = scales::percent_format(accuracy = 1, scale = 1), # Set percent labels for y axis
    name = "population growth, 2000 to 2010" # Set name for y axis
    ) +
  coord_flip() + # Flip the x and y axis
  theme(legend.position = c(.67, .4), # Set legend position
        axis.text.y = element_text( size = 6, 
                                    margin = margin(t = 0, r = 0, b = 0, l = 0) )) # Adjust the size and margin for y axis text

Question 2f

male_Aus <- read_csv(
  'https://bcdanl.github.io/data/aus_athletics_male.csv')

# Define color and fill vectors for use in plot
colors <- c("#BD3828", rep("#808080", 4))
fills <- c("#BD3828D0", rep("#80808080", 4))

p <- ggplot(male_Aus, aes(x=height, y=pcBfat, shape=sport, color = sport, fill = sport))

# Add geom_point layer with custom size
p + geom_point(size = 3) +

# Set shape values for different sports
  scale_shape_manual(values = 21:25) +

# Set color values for different sports
  scale_color_manual(values = colors) +

# Set fill values for different sports
  scale_fill_manual(values = fills) +

# Set x and y axis labels
  labs(x = "height (cm)",
       y = "% body fat" )

Question 2g

titanic <- read_csv(
  'https://bcdanl.github.io/data/titanic_cleaned.csv')

p <- ggplot(titanic, aes(x = age, y = after_stat(count) ) ) 

# Add a density line plot for all passengers with transparent color, and fill legend with "all passengers"
p + geom_density(
    data = select(titanic, -sex), 
    aes(fill = "all passengers"),
    color = "transparent"
  ) + 
  # Add another density line plot for each sex with transparent color, and fill legend with sex
  geom_density(aes(fill = sex), bw = 2, color = "transparent") +
  # Set the x-axis limits, name, and expand arguments
  scale_x_continuous(limits = c(0, 75), name = "passenger age (years)", expand = c(0, 0)) +
  # Set the y-axis limits, name, and expand arguments
  scale_y_continuous(limits = c(0, 26), name = "count", expand = c(0, 0)) +
  # Set the manual color and fill values, breaks, and labels for the legend
  scale_fill_manual(
    values = c("#b3b3b3a0", "#0072B2", "#D55E00"), 
    breaks = c("all passengers", "male", "female"),
    labels = c("all passengers  ", "males  ", "females"),
    name = NULL,
    guide = guide_legend(direction = "horizontal")
  ) +
  # Set the Cartesian coordinate system to allow for data points to fall outside the plot limits
  coord_cartesian(clip = "off") +
  # Create separate density line plots for male and female passengers
  facet_wrap(~sex) +
  # Set the x-axis line to blank, increase the strip text size, and set the legend position and margin
  theme(
    axis.line.x = element_blank(),
    strip.text = element_text(size = 14, margin = margin(0, 0, 0.2, 0, "cm")),
    legend.position = "bottom",
    legend.justification = "right",
    legend.margin = margin(4.5, 0, 1.5, 0, "pt"),
    legend.spacing.x = grid::unit(4.5, "pt"),
    legend.spacing.y = grid::unit(0, "pt"),
    legend.box.spacing = grid::unit(0, "cm")
  )

Question 2h

cows_filtered <- read_csv(
  'https://bcdanl.github.io/data/cows_filtered.csv')


p <- ggplot(cows_filtered, aes(x = butterfat, color = breed, fill = breed))

# add a density line for each breed with some transparency
p + geom_density(alpha = .2) +

# set x-axis properties
scale_x_continuous(
  expand = c(0, 0), # remove padding from axis limits
  labels = scales::percent_format(accuracy = 1, scale = 1), # format axis labels as percentages with 1 decimal point
  name = "butterfat contents" # set axis label
) +

# set y-axis properties
scale_y_continuous(limits = c(0, 1.99), expand = c(0, 0)) +

# set plot area properties
coord_cartesian(clip = "off") + # allow density lines to extend beyond axis limits
theme(axis.line.x = element_blank()) # remove x-axis line