DANL 310: Data Visualization and Presentation Midterm Exam

Published

April 6, 2023

library(knitr)
library(tidyverse)
── Attaching packages ─────────────────────────────────────── tidyverse 1.3.2 ──
✔ ggplot2 3.4.0     ✔ purrr   1.0.1
✔ tibble  3.2.1     ✔ dplyr   1.1.0
✔ tidyr   1.3.0     ✔ stringr 1.5.0
✔ readr   2.1.3     ✔ forcats 1.0.0
Warning: package 'tibble' was built under R version 4.2.3
── Conflicts ────────────────────────────────────────── tidyverse_conflicts() ──
✖ dplyr::filter() masks stats::filter()
✖ dplyr::lag()    masks stats::lag()
library(lubridate)
Warning: package 'lubridate' was built under R version 4.2.3

Attaching package: 'lubridate'

The following objects are masked from 'package:base':

    date, intersect, setdiff, union
library(socviz)
library(ggthemes)
library(hrbrthemes)
Warning: package 'hrbrthemes' was built under R version 4.2.3
NOTE: Either Arial Narrow or Roboto Condensed fonts are required to use these themes.
      Please use hrbrthemes::import_roboto_condensed() to install Roboto Condensed and
      if Arial Narrow is not on your system, please see https://bit.ly/arialnarrow
library(gapminder)
Warning: package 'gapminder' was built under R version 4.2.3
library(stargazer)

Please cite as: 

 Hlavac, Marek (2022). stargazer: Well-Formatted Regression and Summary Statistics Tables.
 R package version 5.2.3. https://CRAN.R-project.org/package=stargazer 
gapminder <- gapminder
# Set the data and filter to include only observations from 2007 and exclude Oceania
ggplot(data = filter(gapminder, year == 2007,
                     continent != 'Oceania'),

       # Set the aesthetics (x-axis and y-axis) to life expectancy and reorder countries by life expectancy
       aes(x = lifeExp,
           y = fct_reorder(country, lifeExp))) +

  # Add a layer of points to the plot, setting the color to blue and size to 1.75
  geom_point(color = "#0072B2", size = 1.75) +

  # Add a layer of text labels to the plot, setting the label to life expectancy, hjust to -.25, and size to 2
  geom_text(aes(label = lifeExp), hjust = -.25,
            size = 2) +

  # Facet the plot by continent, with y-scales free
  facet_wrap(.~continent, scales = "free_y") +

  # Set the x-axis label to NULL (no name) and limit the x-axis to 35-90
  scale_x_continuous(
    name = NULL,
    lim = c(35, 90)
  ) +

  # Set the y-axis label to NULL (no name)
  scale_y_discrete(name = NULL) +

  # Add a title to the plot
  labs(title = 'Life expectancy in 2007') +

  # Set the theme to minimal
  theme_minimal() +

  # Customize theme elements: set the y-axis text size, the plot title size and position, and the facet strip text size and font face
  theme(
    axis.text.y = element_text(size = rel(.75)),
    plot.title = element_text(size = rel(1.5),
                              hjust = 0.5,
                              face = 'bold'),
    strip.text = element_text(size = rel(1.25),
                              face = 'bold')
  )

n_tweets_long <- read_csv(
  'https://bcdanl.github.io/data/n_tweets_long.csv')
Rows: 24 Columns: 3
── Column specification ────────────────────────────────────────────────────────
Delimiter: ","
chr (1): type
dbl (2): year, n

ℹ Use `spec()` to retrieve the full column specification for this data.
ℹ Specify the column types or set `show_col_types = FALSE` to quiet this message.
# The following line filters the rows of the n_tweets_long data frame that have a value of "n_ot_us" or "n_ot_wrld" in the "type" column. 
# It then creates a new column called "type" that replaces "n_ot_us" with "US" and "n_ot_wrld" with "Worldwide".
n_tweets_long1 <- n_tweets_long %>% 
  filter(type %in% c("n_ot_us", "n_ot_wrld") ) %>% 
  mutate(type = ifelse(type == "n_ot_us", "US", "Worldwide"))


# The following line filters the rows of the n_tweets_long data frame that have a value of "n_rt_lk_us" or "n_rt_lk_wrld" in the "type" column. 
# It then creates a new column called "type" that replaces "n_rt_lk_us" with "US" and "n_rt_lk_wrld" with "Worldwide".
n_tweets_long2 <- n_tweets_long %>% 
  filter(type %in% c("n_rt_lk_us", "n_rt_lk_wrld") ) %>% 
  mutate(type = ifelse(type == "n_rt_lk_us", "US", "Worldwide"))
  


p2 <- ggplot(mapping = aes(x = year, y = n)) +  # Create a ggplot object with the mapping of the x-axis to the "year" variable and y-axis to the "n" variable
  geom_col(n_tweets_long1,  # Add a column chart layer with the "n_tweets_long1" data
           mapping = aes(fill = type),  # Map the "type" variable to the fill aesthetic of the chart
           position = 'dodge', alpha = .67) +  # Set the position of the columns to "dodge" and the transparency to 0.67
  geom_line(n_tweets_long2,  # Add a line chart layer with the "n_tweets_long2" data
            mapping = aes(color = type),  # Map the "type" variable to the color aesthetic of the chart
            size = 1.5) +  # Set the line size to 1.5
  geom_point(data = n_tweets_long2,  # Add a point chart layer with the "n_tweets_long2" data
             size = 2,  # Set the point size to 2
             color = 'black')  +  # Set the point color to black
  scale_x_continuous(breaks = seq(2012, 2017, 1)) +  # Set the x-axis breaks to the sequence from 2012 to 2017 with an interval of 1
  scale_y_continuous(label = scales::comma) +  # Format the y-axis labels using the comma function from the scales package
  scale_color_manual(values = c('maroon', '#428bca')) +  # Manually set the color values for the color aesthetic
  scale_fill_manual(values = c('maroon', '#428bca')) +   # Manually set the color values for the fill aesthetic
  guides(fill = guide_legend(reverse = TRUE,  # Customize the fill legend guide by reversing the order of the legend, positioning the labels at the bottom, and setting the number of rows to 2 and the key width to 2
                             # title.position = "top",
                             label.position = "bottom",
                             keywidth = 2,
                             nrow = 2,
                             order = 1),
         color = guide_legend(reverse = TRUE,  # Customize the color legend guide by reversing the order of the legend, positioning the labels at the bottom, and setting the number of rows to 2 and the key width to 2
                             # title.position = "top",
                             label.position = "bottom",
                             keywidth = 2,
                             nrow = 2,
                             order = 2)) +
  labs(x = "Year",  # Add x-axis label "Year"
       y = "Number of Tweets, Retweets & Likes\n (in thousand)",  # Add y-axis label "Number of Tweets, Retweets & Likes (in thousand)"
       fill = "Tweets",  # Add fill legend label "Tweets"
       color = "Retweets and likes",  # Add color legend label "Retweets and likes"
       caption = 'Source: Choe, "Social Media Campaigns, Lobbying, and Climate Change Legislation:\n Evidence from #climatechange/#globalwarming and Energy Lobbies" (2023)') +  # Add caption with source information
  theme_ipsum() +  # Use the 'theme_ipsum' theme from the 'ggthemes' package
  theme(
  axis.title.y = element_text(
    size = rel(1.5),
    margin = margin(t = 0, r = 20, b = 0, l = 0) # set the margin for the y axis title
  ),
  axis.title.x = element_text(
    size = rel(1.5),
    margin = margin(t = 10, r = 0, b = 0, l = 0) # set the margin for the x axis title
  ),
  axis.text.x = element_text(
    size = rel(1.25) # set the font size for the x axis tick labels
  ),
  axis.text.y = element_text(
    size = rel(1.25) # set the font size for the y axis tick labels
  ),
  legend.position = 'top', # set the position of the legend
  legend.title = element_text(
    size = rel(1),
    face = 'bold',
    hjust = .5 # set the font size, face and horizontal justification for the legend title
  ),
  legend.text = element_text(
    size = rel(1) # set the font size for the legend text
  ),
  legend.spacing.x = unit(1.25, "cm"), # set the horizontal spacing between legend items
  plot.caption = element_text(
    size = rel(1.25),
    hjust = .5 # set the font size and horizontal justification for the plot caption
  )
)
Warning: Using `size` aesthetic for lines was deprecated in ggplot2 3.4.0.
ℹ Please use `linewidth` instead.
p2
Warning in grid.Call(C_stringMetric, as.graphicsAnnot(x$label)): font family
not found in Windows font database
Warning in grid.Call(C_stringMetric, as.graphicsAnnot(x$label)): font family
not found in Windows font database
Warning in grid.Call(C_textBounds, as.graphicsAnnot(x$label), x$x, x$y, : font
family not found in Windows font database

Warning in grid.Call(C_textBounds, as.graphicsAnnot(x$label), x$x, x$y, : font
family not found in Windows font database

Warning in grid.Call(C_textBounds, as.graphicsAnnot(x$label), x$x, x$y, : font
family not found in Windows font database

Warning in grid.Call(C_textBounds, as.graphicsAnnot(x$label), x$x, x$y, : font
family not found in Windows font database
Warning in grid.Call(C_stringMetric, as.graphicsAnnot(x$label)): font family
not found in Windows font database
Warning in grid.Call(C_textBounds, as.graphicsAnnot(x$label), x$x, x$y, : font
family not found in Windows font database

Warning in grid.Call(C_textBounds, as.graphicsAnnot(x$label), x$x, x$y, : font
family not found in Windows font database

Warning in grid.Call(C_textBounds, as.graphicsAnnot(x$label), x$x, x$y, : font
family not found in Windows font database

Warning in grid.Call(C_textBounds, as.graphicsAnnot(x$label), x$x, x$y, : font
family not found in Windows font database

Warning in grid.Call(C_textBounds, as.graphicsAnnot(x$label), x$x, x$y, : font
family not found in Windows font database

Warning in grid.Call(C_textBounds, as.graphicsAnnot(x$label), x$x, x$y, : font
family not found in Windows font database

Warning in grid.Call(C_textBounds, as.graphicsAnnot(x$label), x$x, x$y, : font
family not found in Windows font database

Warning in grid.Call(C_textBounds, as.graphicsAnnot(x$label), x$x, x$y, : font
family not found in Windows font database

Warning in grid.Call(C_textBounds, as.graphicsAnnot(x$label), x$x, x$y, : font
family not found in Windows font database

Warning in grid.Call(C_textBounds, as.graphicsAnnot(x$label), x$x, x$y, : font
family not found in Windows font database
Warning in grid.Call.graphics(C_text, as.graphicsAnnot(x$label), x$x, x$y, :
font family not found in Windows font database

Warning in grid.Call.graphics(C_text, as.graphicsAnnot(x$label), x$x, x$y, :
font family not found in Windows font database

Warning in grid.Call.graphics(C_text, as.graphicsAnnot(x$label), x$x, x$y, :
font family not found in Windows font database
Warning in grid.Call(C_textBounds, as.graphicsAnnot(x$label), x$x, x$y, : font
family not found in Windows font database

Warning in grid.Call(C_textBounds, as.graphicsAnnot(x$label), x$x, x$y, : font
family not found in Windows font database

Warning in grid.Call(C_textBounds, as.graphicsAnnot(x$label), x$x, x$y, : font
family not found in Windows font database

Warning in grid.Call(C_textBounds, as.graphicsAnnot(x$label), x$x, x$y, : font
family not found in Windows font database

Warning in grid.Call(C_textBounds, as.graphicsAnnot(x$label), x$x, x$y, : font
family not found in Windows font database

nyc_dog_license <- read_csv(
  'https://bcdanl.github.io/data/nyc_dog_license.csv')
Rows: 222328 Columns: 9
── Column specification ────────────────────────────────────────────────────────
Delimiter: ","
chr  (4): animal_name, animal_gender, breed_rc, borough
dbl  (3): animal_birth_year, zip_code, extract_year
date (2): license_issued_date, license_expired_date

ℹ Use `spec()` to retrieve the full column specification for this data.
ℹ Specify the column types or set `show_col_types = FALSE` to quiet this message.
nyc_zips_coord <- read_csv(
  'https://bcdanl.github.io/data/nyc_zips_coord.csv')
Rows: 11175 Columns: 3
── Column specification ────────────────────────────────────────────────────────
Delimiter: ","
dbl (3): X, Y, objectid

ℹ Use `spec()` to retrieve the full column specification for this data.
ℹ Specify the column types or set `show_col_types = FALSE` to quiet this message.
nyc_zips_df <- read_csv(
  'https://bcdanl.github.io/data/nyc_zips_df.csv')
Rows: 262 Columns: 11
── Column specification ────────────────────────────────────────────────────────
Delimiter: ","
chr (5): po_name, state, borough, cty_fips, x_id
dbl (6): objectid, zip_code, st_fips, bld_gpostal_code, shape_leng, shape_area

ℹ Use `spec()` to retrieve the full column specification for this data.
ℹ Specify the column types or set `show_col_types = FALSE` to quiet this message.
nyc_dog_license <- read_csv(
  'https://bcdanl.github.io/data/nyc_dog_license.csv')
Rows: 222328 Columns: 9
── Column specification ────────────────────────────────────────────────────────
Delimiter: ","
chr  (4): animal_name, animal_gender, breed_rc, borough
dbl  (3): animal_birth_year, zip_code, extract_year
date (2): license_issued_date, license_expired_date

ℹ Use `spec()` to retrieve the full column specification for this data.
ℹ Specify the column types or set `show_col_types = FALSE` to quiet this message.
nyc_zips_coord <- read_csv(
  'https://bcdanl.github.io/data/nyc_zips_coord.csv')
Rows: 11175 Columns: 3
── Column specification ────────────────────────────────────────────────────────
Delimiter: ","
dbl (3): X, Y, objectid

ℹ Use `spec()` to retrieve the full column specification for this data.
ℹ Specify the column types or set `show_col_types = FALSE` to quiet this message.
nyc_zips_df <- read_csv(
  'https://bcdanl.github.io/data/nyc_zips_df.csv')
Rows: 262 Columns: 11
── Column specification ────────────────────────────────────────────────────────
Delimiter: ","
chr (5): po_name, state, borough, cty_fips, x_id
dbl (6): objectid, zip_code, st_fips, bld_gpostal_code, shape_leng, shape_area

ℹ Use `spec()` to retrieve the full column specification for this data.
ℹ Specify the column types or set `show_col_types = FALSE` to quiet this message.
# Joining two data frames using a common variable
nyc_zips_df <- nyc_zips_df %>% 
  left_join(nyc_zips_coord)
Joining with `by = join_by(objectid)`
Warning in left_join(., nyc_zips_coord): Each row in `x` is expected to match at most 1 row in `y`.
ℹ Row 1 of `x` matches multiple rows.
ℹ If multiple matches are expected, set `multiple = "all"` to silence this
  warning.
# Creating a data frame of the top 5 dog breeds by count
nyc_dogs <- nyc_dog_license %>%
  group_by(breed_rc) %>% 
  summarise(N = n()) %>% 
  filter(dense_rank(-N)<=5)

# Creating a data frame of dog breed frequency and percentage by zip code for the top 5 breeds
nyc_fb <- nyc_dog_license %>%
  group_by(zip_code, breed_rc) %>%
  summarize(n = n()) %>%
  mutate(freq = n / sum(n),
         pct = round(freq*100, 2)) %>%
  filter(breed_rc %in% nyc_dogs$breed_rc )
`summarise()` has grouped output by 'zip_code'. You can override using the
`.groups` argument.
# theme_nymap <- function(base_size=9, base_family="") {
#   require(grid)
#   theme_bw(base_size=base_size, base_family=base_family) %+replace%
#     theme(axis.line=element_blank(),
#           axis.text=element_blank(),
#           axis.ticks=element_blank(),
#           axis.title=element_blank(),
#           panel.background=element_blank(),
#           panel.border=element_blank(),
#           panel.grid=element_blank(),
#           panel.spacing=unit(0, "lines"),
#           plot.background=element_blank(),
#     )
# }


# Create a map of New York City zip codes colored by the share of Pit Bull dogs 
# and their mixes out of all licensed dogs, based on licensing data
fb_map <- nyc_zips_df %>% 
  left_join(nyc_fb)
Joining with `by = join_by(zip_code)`
Warning in left_join(., nyc_fb): Each row in `x` is expected to match at most 1 row in `y`.
ℹ Row 1 of `x` matches multiple rows.
ℹ If multiple matches are expected, set `multiple = "all"` to silence this
  warning.
# Filter for Pit Bull breeds and plot the map
filter(fb_map, breed_rc %in% c('Pit Bull (or Mix)')) %>% 
  ggplot(mapping = aes(x = X, y = Y, 
                       fill = pct,
                       group = zip_code)) +
  geom_polygon(color = "gray80", 
               size = 0.1) +    # draw the zip code polygons
  scale_fill_viridis_c(option = "inferno",
                       breaks = seq(0,24,2)) +  # set the color scale for Pit Bull share
  labs(fill = "Pit Bull's Share of All Licensed Dogs (%)",
       title = "New York City's Pit Bull",
       subtitle = "By Zip Code. Based on Licensing Data") +  # set the map title and legend title
  theme_map() +  # set the map theme
  theme(legend.justification = c(.5,.5),
        legend.position = 'top',
        legend.direction = "horizontal",
        legend.text = element_text(size= rel(1.25)),
        legend.title = element_text(size= rel(1.25),
                                face = 'bold',
                                hjust = .5),
        plot.title = element_text(hjust = .5,
                                  vjust = .5,
                                  face = 'bold',
                                  size = rel(2.25)),
        plot.subtitle = element_text(hjust = .5,
                                     vjust = .5,
                                     size = rel(1.25))) +  # customize the theme of the plot
  coord_map(projection = "albers", lat0 = 39, lat1 = 45) +  # set the map projection
  guides(fill = guide_legend(title.position = "top",
                             label.position = "bottom",
                             keywidth = 1, nrow = 1))  # set the legend position

q3b <- fb_map %>% 
  select(zip_code, breed_rc, pct) %>% 
  filter(breed_rc == 'Pit Bull (or Mix)') %>% 
  arrange(-pct) %>% 
  distinct()
stock <- read_csv('https://bcdanl.github.io/data/stocks2013_2023.csv')
Rows: 17983 Columns: 8
── Column specification ────────────────────────────────────────────────────────
Delimiter: ","
chr  (1): company
dbl  (6): Open, High, Low, Close, Adj Close, Volume
date (1): Date

ℹ Use `spec()` to retrieve the full column specification for this data.
ℹ Specify the column types or set `show_col_types = FALSE` to quiet this message.
# Create a new variable year extracted from the Date column
stock <- stock %>% 
  mutate(year = year(Date))

p <- ggplot(data = filter(stock, year >= 2019, year <= 2022 ) , 
            aes(x = log(Volume), y = log(Close), color = company))

p + 
  geom_point(alpha = .05) +
  geom_smooth(method = lm, color = 'black') +
  facet_grid( company ~ year, scales = 'free' ) +
  labs(x = 'Volume (in log)',
       y = 'Close (in log)') +
  guides(color = "none")
`geom_smooth()` using formula = 'y ~ x'

# Create a new variable year extracted from the Date column
stock <- stock %>% 
  mutate(year = year(Date))

p <- ggplot(data = filter(stock, year >= 2019, year <= 2022 ) , 
            aes(x = log(Volume), y = log(Close), color = company))

p + 
  geom_point(alpha = .05) +
  geom_smooth(method = lm, color = 'black') +
  facet_grid( company ~ year ) +
  labs(x = 'Volume (in log)',
       y = 'Close (in log)') +
  guides(color = "none")
`geom_smooth()` using formula = 'y ~ x'

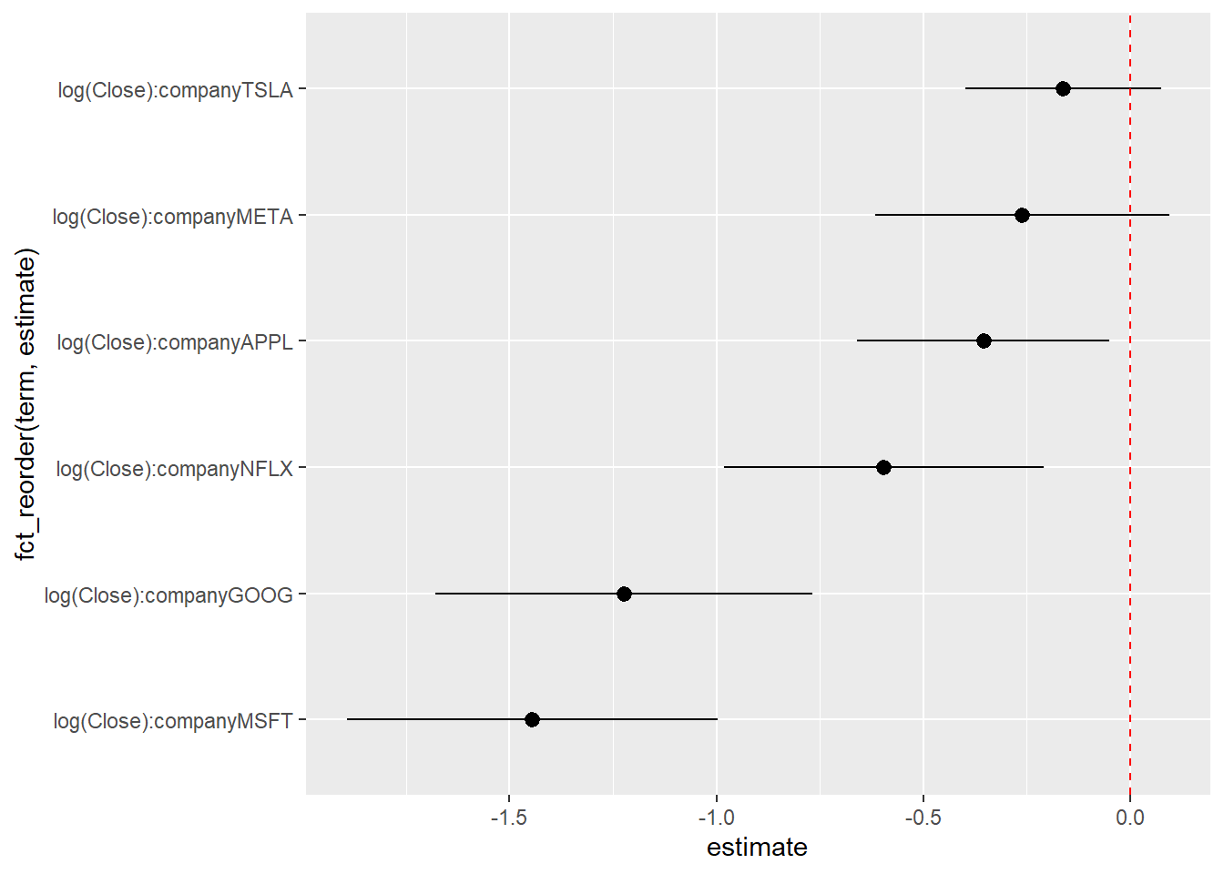
library(broom)
Warning: package 'broom' was built under R version 4.2.3
reg <- lm(log(Volume) ~ log(Close) * company,
          data = filter(stock, year == 2020))
reg_sum <- tidy(reg, conf.int = T) %>% 
  filter(str_detect(term, "log"), term != "log(Close)")

ggplot(reg_sum,
       aes(x = estimate, y = fct_reorder(term, estimate),
           xmin = conf.low, 
           xmax = conf.high)) +
  geom_point() +
  geom_pointrange() +
  geom_vline(xintercept = 0, color = 'red', lty = 2)